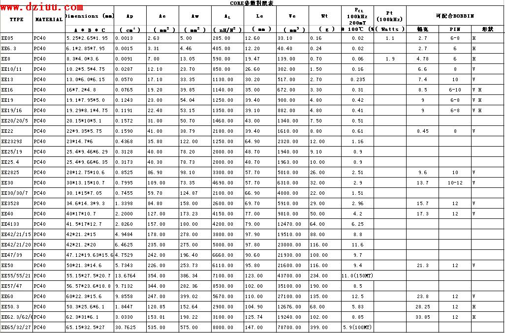
本文 收藏了EE型磁芯
參數及尺寸資料,其中
EE05;EE6.6;EE8;3310/11;EE13;EE16;
EE19;EE19/16;EE20/20/5;EE22;EE2329S;
EE25/19;EE25.4;EE2825;EE30;EE30/30/7;EE3528;EE40;EE4133;EE42/21/15;
EE42/21/20;EE47/39;EE50;EE55/55/21;EE57/47;EE60;EE50.3;EE62.3/62;
EE65/32/27等。《版權聲明:本文由www.zskn.com.cn整理提供,部分內容來源于網絡,如有侵犯到你的權利請與我們聯系更正。》
《版權聲明:本文由www.zskn.com.cn整理提供,部分內容來源于網絡,如有侵犯到你的權利請與我們聯系更正。》
點擊上圖查看大圖

《版權聲明:本文由www.zskn.com.cn整理提供,部分內容來源于網絡,如有侵犯到你的權利請與我們聯系更正。》
容-源-電-子-網-為你提供技術支持本文地址:http://www.zskn.com.cn/dz/21/201142202005.shtml
本文標簽:
猜你感興趣:
ee型磁芯參數.磁芯尺寸資料
無