圖1-2是在圖1-1-a電路的基礎上,增" />
大多數開關電源輸出都是直流電壓,因此,一般開關電源的輸出電路都帶有整流濾波電路。圖1-2是帶有整流濾波功能的串聯式開關電源工作原理圖。

圖1-2是在圖1-1-a電路的基礎上,增加了一個整流二極管和一個LC濾波電路。其中L是儲能濾波電感,它的作用是在控制開關K接通期間Ton限制大電流通過,防止輸入電壓Ui直接加到負載R上,對負載R進行電壓沖擊,同時對流過電感的電流iL轉化成磁能進行能量存儲,然后在控制開關K關斷期間Toff把磁能轉化成電流iL繼續向負載R提供能量輸出;C是儲能濾波電容,它的作用是在控制開關K接通期間Ton把流過儲能電感L的部分電流轉化成電荷進行存儲,然后在控制開關K關斷期間Toff把電荷轉化成電流繼續向負載R提供能量輸出;D是整流二極管,主要功能是續流作用,故稱它為續流二極管,其作用是在控制開關關斷期間Toff,給儲能濾波電感L釋放能量提供電流通路。
在控制開關關斷期間Toff,儲能電感L將產生反電動勢,流過儲能電感L的電流iL由反電動勢eL的正極流出,通過負載R,再經過續流二極管D的正極,然后從續流二極管D的負極流出,最后回到反電動勢eL的負極。
對于圖1-2,如果不看控制開關K和輸入電壓Ui,它是一個典型的反г 型濾波電路,它的作用是把脈動直流電壓通過平滑濾波輸出其平均值。
圖1-3、圖1-4、圖1-5分別是控制開關K的占空比D等于0.5、 0.5時,圖1-2電路中幾個關鍵點的電壓和電流波形。圖1-3-a)、圖1-4-a)、圖1-5-a)分別為控制開關K輸出電壓uo的波形;圖1-3-b)、圖1-4-b)、圖1-5-b)分別為儲能濾波電容兩端電壓uc的波形;圖1-3-c)、圖1-4-c)、圖1-5-c)分別為流過儲能電感L電流iL的波形。


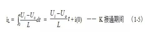
在Ton期間,控制開關K接通,輸入電壓Ui通過控制開關K輸出電壓uo,然后加到儲能濾波電感L和儲能濾波電容C組成的濾波電路上,在此期間儲能濾波電感L兩端的電壓eL為:
eL = Ldi/dt = Ui – Uo —— K接通期間 (1-4)
式中:Ui輸入電壓,Uo為直流輸出電壓,即:電容兩端的電壓uc的平均值。
在此順便說明:由于電容兩端的電壓變化量ΔU相對于輸出電壓Uo來說非常小,為了簡單,我們這里把Uo當成常量來處理。在某種情況下,如需要對電容的初次充、放電過程進行分析時,必須需要建立微分方程,并求解。因為輸出電壓Uo的建立需要一定的時間,精確計算得出的結果中一般
都含有指數函數項,當令時間變量等于無窮大時,即電路進入穩態時,再對相關參量取平均值,其結果就基本與(1-4)相等。
對(1-4)式進行積分得:

式中i(0)為控制開關K轉換瞬間(t = 0時刻),即:控制開關K剛接通瞬間流過電感L的電流,或稱流過電感L的初始電流。
當控制開關K由接通期間Ton突然轉換到關斷期間Toff的瞬間,流過電感L的電流iL達到最大值:
iLm =(Ui-Uo)Ton/L + i(0) —— K關斷前瞬間 (1-6)
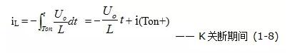
在Toff期間,控制開關K關斷,儲能電感L把磁能轉化成電流iL,通過整流二極管D繼續向負載R提供能量,在此期間儲能濾波電感L兩端的電壓eL為:
eL = Ldi/dt = – Uo —— K關斷期間 (1-7)
式中–Uo前的負號,表示K關斷期間電感產生電動勢的方向與K接通期間電感產生電動勢的方向正好相反。對(1-7)式進行積分得:

式中i(Ton+)為控制開關K從Ton轉換到Toff的瞬間之前流過電感的電流,i(Ton+)也可以寫為i(Toff-),即:控制開關K關斷或接通瞬間,之前和之后流過電感L的電流相等。實際上(1-8)式中的i(Ton+)就是(1-6)式中的iLm,即:

上面計算都是假設輸出電壓Uo基本不變的情況得到的結果,在實際應用電路中也正好是這樣,輸出電壓Uo的電壓紋波非常小,只有輸出電壓(www.zskn.com.cn)的百分之幾,工程計算中完全可以忽略不計。容-源-電-子-網-為你提供技術支持
本文地址:http://www.zskn.com.cn/kaiguandianyuan/15452735652788.shtml
本文標簽:
猜你感興趣:
開關電源散熱設計熱衷于導熱硅膠片的原因及應用方式
在對電源散熱設計時,散熱這一塊就成了電源設計中非常重要的一個環節。電源散熱設計中常用的幾種方法有:使用被動散熱,如:散熱器、冷卻風扇,金屬PCB,導熱材料(導熱硅膠片)等。
關鍵詞: 所屬欄目:開關電源電路圖
什么是電源濾波器,其作用是什么呢?
什么是電源濾波器
emi濾波器,別名“交流電源EMI濾波器”,或者“EMI濾波器”,是1種無源雙向網絡,是1種對交流電源中特殊頻率的頻點或該頻點以外的
關鍵詞: 所屬欄目:電子器材
自制最簡單12V開關電源電路圖(WS157)
自制最簡單12V開關電源電路圖(WS157)
開關電源是利用現代電力電子技術,控制開關管開通和關斷的時間比率,維持穩定輸出電壓的一種電源,開關電源一般由脈沖寬度調制(
關鍵詞:開關穩壓電源 所屬欄目:開關電源電路圖
TL431開關電源電路圖(5V,1A)
TL431開關電源電路圖(5V,1A)
TL431的封裝 圖中是采用TL431構成的開關穩壓電源電路,輸出電壓為+5V,輸出電流為1A,電路的輸出紋波小,變化效率可達82%。TL431,R5與R
關鍵詞:開關穩壓電源 所屬欄目:開關電源電路圖
開關電源TOP261電路圖(筆記本適配器電路)
開關電源TOP261電路圖(筆記本適配器電路)
OPSwitch-HX 源極引腳的輸入濾波電容的負極端采用單點連接到偏置繞組的回路。使電涌電流從偏置繞組直接返回輸入濾波電容,增
關鍵詞:開關穩壓電源充電器電路圖 所屬欄目:開關電源電路圖
TL494芯片設計48V/3A開關電源電路圖
48V3A開關電源電路
TL494是一種固定頻率脈寬調制電路,它包含了開關電源控制所需的全部功能,廣泛應用于單端正激雙管式、半橋式、全橋式開關電源。TL494有SO-16和PDIP
關鍵詞:開關穩壓電源 所屬欄目:開關電源電路圖
UC3842開關電源電路圖
電源電路圖UC3842開關 當NMOS管導通時,初級線圈N1電流線性增大,磁場增強,次級線圈中VD4截止,由電容C10向負載供電;此時,脈沖變壓器原邊回路中VD2亦截止,N1這時起
關鍵詞: 所屬欄目:電源電路
LM324+LM386具有可調諧濾波器的音頻放大器
這音頻放大器可以做出500到1500赫茲的調整,它將會驅動一個喇叭或耳機。它對等幅波接收和其他接收應用是非常有用的,它只需要兩個集成電路儀器。 :
關鍵詞: 所屬欄目:音頻功放電路
HT360 免電感濾波2*20W D類立體聲音頻功放
HT360是一款高效D類音頻功率放大器。在14.5V供電的立體聲(BTL)模式下,能夠持續提供2*20W/4Ω功率輸出;在單聲道(PBTL)模式下,能夠持續提供30W/4Ω功率輸出。
關鍵詞: 所屬欄目:音頻功放電路
明緯開關電源常見故障
明緯開關電源常見故障:開關電源是各種電子設備必不可缺的組成部分,其性能優劣直接關系到電子設備的技術指標及能否安全可靠地工作。由于開關電源內部關鍵元器件工作在高頻開
關鍵詞:開關穩壓電源直流穩壓電源穩壓電路 所屬欄目:開關電源電路圖
充電器13001開關電源電路圖
13001開關電源電路圖主要應用于小功率開關電源電路中,最常見的應用電器應用充電器電路中,13001電路簡單,制作方便、成本低及可靠性好。深受廣大工程師喜愛,下面介紹基于13001開關電路。
關鍵詞:開關穩壓電源充電器電路圖 所屬欄目:開關電源電路圖
經典13003開關電源電路圖
在開關電源電路中,13003作為開關管使用很多,常見用于小功率開關電源電路中,如手機充電器中,開關電源是將交流轉換成直流電源,控制開關管開通和關斷的時間比率,維持穩定
關鍵詞:充電器電路圖開關穩壓電源 所屬欄目:開關電源電路圖
開關電源pcb板布板注意事項
一、印制板布線的一些原則線間距:隨著印制線路板制造工藝的不斷完善和提高,一般加工廠制造出線間距等于甚至小于0.1mm已經不存在什么問題,完全能夠滿足大多數應用場合?
關鍵詞:電路設計開關穩壓電源 所屬欄目:開關電源電路圖
開關電源初次上電“炸機”?一招教你搞定
做了這么些年的開關電源設計,一個很讓我心里忐忑的事就是新做的樣機進行初次上電,擔心炸機。相信很多工程師跟我一樣深有體會,把自己的新樣機在上電之前檢查再檢查,生怕
關鍵詞: 所屬欄目:開關電源電路圖
12V開關直流穩壓電源電路圖(TWH8778應用電路)
本電路主要應用TWH8778作為控制芯片,首先給大家介紹一下TWH8778集成電路,TWH8778屬于高速集成電子開關,可用于各種自動控制電路。它外形簡單,外圍電路簡單,內部包含過熱
關鍵詞:高頻開關電源開關穩壓電源直流穩壓電源 所屬欄目:開關電源電路圖
開關電源有嘯叫聲如何維修(經驗分享)
開關電源有嘯叫聲如何維修;開關電源在電器設備中至關重要,是整個電器的基礎電路,如果開關電源工作不穩定,那么后級電路設計到在好也是空談,一些細心的朋友可能會發現,
關鍵詞:高頻開關電源開關穩壓電源穩壓電源 所屬欄目:開關電源電路圖
viper22a電路圖原理
viper22a電路圖原理;下面將用一個DVD開關電源電路圖為大家介紹viper22a工作原理。DVD所用的電源IC為專用開關電源集成電路VIPER22A,圖4是其外引腳圖,圖中,第1、2腳SOURCE是內部場效應管源極的表示,在使用中通常接地,3腳FB是取樣電壓輸入端,4腳VDD是供電電壓端,
關鍵詞:直流穩壓電源開關穩壓電源 所屬欄目:集成塊資料
viper22a開關電源電路圖
viper22a開關電源電路圖:viper22a介紹:典型應用包括離線電源;用于電池充電器適配器備用電源;電視或顯示器用品,輔助用品
關鍵詞:直流穩壓電源開關穩壓電源 所屬欄目:集成塊資料
電腦電源維修方法
電腦電源維修方法
如果電腦開關電源損壞或無法工作,計算機也將無法工作。在開始電腦電源維修之前,我們必須確定損壞的原因。電源損壞通常是由于三個因素造成的,可能是由
關鍵詞:開關穩壓電源穩壓電源 所屬欄目:開關電源電路圖
TL494開關電源電路圖
TL494開關電源電路圖
VMOS管開關電源應用電路如圖所示,設計為一種采用TL494開關集成電路元件作為控制電路的推挽式開關電源。在圖中,TL494用作電源的控制電路,除了作為
關鍵詞:穩壓集成電路穩壓電源 所屬欄目:開關電源電路圖