任何散熱解決方案的目標都是確保設備的工作溫度不超過其制造商規定的安全限值。在電子工業中,這個工作溫度被稱為器件的“結溫”。例如,在處理器中,這個術語字面上指的是電能轉換為熱量的半導體結。
為了保持工作,熱量必須以確保可接受的結溫的速率流出半導體。當熱流從整個器件封裝的結處移動時,這種熱流遇到阻力,就像電子在流過導線時面對電阻一樣。在熱力學方面,這種電阻稱為導電電阻,由幾個部分組成。從結點開始,熱量可以流向元件的殼體,可以放置散熱器。這被稱為ΘJC,或結至殼體的熱阻。熱量也可以從組件的頂部表面流出并流入板中。這被稱為結到電路板電阻,或ΘJB
ΘJB定義為當熱路徑僅從結點到電路板時,結點和電路板之間的溫差除以功率。為了測量ΘJB,器件的頂部是絕緣的,冷板連接到電路板邊緣(圖1)。這是真正的熱阻,這是器件的特性。唯一的問題是,在實際應用中,人們不知道從不同路徑傳輸了多少功率。

圖1:橫截面圖環形冷板RΘJB 2 。
ΨJB是使用多個傳熱路徑時的溫差的度量,例如組件的側面和頂部董事會。這些多路徑是實際系統中固有的,必須謹慎使用測量。
由于組件內有多個傳熱路徑,單個電阻不能用于精確計算結溫。從結到環境的熱阻必須進一步細分為電阻網絡,以提高結溫預測的精度。簡化的電阻網絡如圖2所示。

圖2:結至環境電阻網絡。
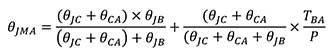
Joiner等人 1 完成的先前工作將ΘJMA與電路板溫度相關聯(見公式1)。 ΘJMA是在評估所有傳熱路徑時從結到環境的總熱阻。在這種情況下,ΘCA由散熱器熱阻以及器件和接收器之間的界面電阻表示。
表1列出了典型BGA組件的JEDEC參數。這些用于以下示例計算中:
ΘJMA=移動空氣熱阻的結點
ΘJB=結至電路板的熱阻
ΘJC=結至殼體的熱阻
ΘCA= Case環境熱阻
TBA =電路板溫升

參數說明值單位ΘJC熱電阻 -
結到外殼0.45°C/WΘJB熱阻 -
結至電路板2.6°C/W TDP熱設計功率20 W Tj最高結溫105°C
表1:典型熱封裝規格
隨著電路板布局變得越來越密集,需要設計出使用盡可能少空間的優化散熱解決方案。簡而言之,沒有余量允許過度設計的散熱器具有緊密的元件間距。考慮板耦合的影響是這種優化的重要部分。只有在考慮結殼到殼體的傳熱路徑時才存在使用超大尺寸散熱器的可能性。
為確保在55°C環境溫度下的105°C結溫,典型元件(見表1)需要2.05°C/W的散熱器電阻(如果忽略電路板導通)。當考慮電路板導通時,假設電路板溫度與空氣溫度相同,實際結溫可能低至74°C。這表示散熱片大于必要的溫度。
從這個例子可以看出,必須考慮來自元件連接點的所有傳熱路徑。僅使用ΘJC和ΘCA值可能導致大于最佳的散熱器,并且可能無法準確預測工作結溫。使用建議的相關性也可以預測從實驗中得知電路板溫度時的結溫,如圖3所示。

圖3:電路板溫度升高對結溫的影響。
當存在多個元件時,情況變得比僅使用電路板上的單個元件復雜得多。通過PCB的組件之間存在傳導耦合,以及組件和相鄰卡之間的輻射和對流耦合。圖4顯示了一個帶有兩個元件的簡單PCB。兩個元件的功耗假定為P1和P2,并且假設我們可以忽略輻射傳熱。每個器件下的電路板溫度分別為Tb1和Tb2。我們還假設電路板上兩個元件之間的橫向電阻為θb1b2。

圖4:具有兩個元件的PCB的簡單原理圖。
容-源-電-子-網-為你提供技術支持
本文地址:http://www.zskn.com.cn/pcb/20190121/15480616013107.shtml
本文標簽:
猜你感興趣:
晶振定義是什么?晶振怎么分類
晶振又稱石英晶體振蕩器,晶振是一種利用應時晶體(石英晶體)的壓電效應制成的諧振器件。
晶振是指從應時晶體上按一定方位切割下來的薄片,是時鐘電路中最重要的元件。晶振的工作原理是在一定狀態下,機械能和電能可以通過內部振蕩電路相互轉換。
關鍵詞: 所屬欄目:電子基礎
案例分享:家用電磁爐元器件散熱方式與導熱材料應用
兆科電子的熱管理材料能夠很好地解決電磁爐電路板和線圈盤等發熱元器件在復雜環境的可靠性和電磁兼容性問題。鑒于電磁爐對導熱材料的高導熱需求,兆科主要推薦的材料是導熱硅膠片和導熱硅脂產品來解決散熱方案。
關鍵詞: 所屬欄目:電源電路
pcb制板用什么軟件最好,自學pcb設計必備軟件推薦
很多新手朋友都會問:pcb制板用什么軟件最好,PCB設計常用什么軟件呢?其實,當你打算要學習PCB電路設計之前,你就必須了解一下這行業里面一般使用的是什么軟件是在進行設計,從剛開始就要用最專業的軟件,當然這樣會增加難度,但是當你完全習慣這個軟件之后就會發現其他軟件的不足,下面說為新手朋友們介紹幾款常用設計軟件。希望對大家有幫助。
關鍵詞: 所屬欄目:pcb
如何識別正品原裝電子器件
一般正規廠商生產的電子元器件都會在元器件的空白處標明廠家、元器件編號和生產日期等信息。
關鍵詞: 所屬欄目:元器件知識
簡易自制金屬探測器電路圖,只需少量元器件即可制作成
金屬探測器電路圖 金屬探測器可應用很多領域,當然,金屬探測器根據工作原理的不同,也可以分為很多種的類型電路,今天我們主要介紹的是用集成電路555制作的金屬探測器,由
關鍵詞: 所屬欄目:電路圖
晶體管國內外命名方法講座
國內命名方法:3DG1815-Y,第一部分用阿拉伯字表示器件的電極數目 2:表示二極管;3:表示三極管;
關鍵詞: 所屬欄目:元器件知識
如何應對電子元器件行業對環境的影響
電子行業對環境造成了影響,從正面來看,在照明、電機控制、傳感器和其他眾多應用當中增加電子元器件的使用大幅提高了能效,以及對環境進行監測和控制的能力。而從負面來看,電子產品的普及導致垃圾填埋場充斥著大量電子垃圾,并且向我們的環境排放有害物質。人們已經對該行業內的多種理念和趨勢進行了探索。
關鍵詞: 所屬欄目:元器件知識
電子元器件一般到哪里買?
以前商鋪的專業性應該是一項要考慮的因素,當我們走過電子專業商鋪時,如果發現玻璃柜中各種各樣的電路板或者各種形狀的電阻接頭時,我們可以安心地走進去購買電路板或者按
關鍵詞: 所屬欄目:元器件知識
電子元器件安裝注意事項
電子元器件種類多,外形不同,引出線也多種多樣,所以在安裝是需要注意以下幾點,平尚科技為大家介紹
關鍵詞: 所屬欄目:元器件知識
貼片電阻與貼片電感的區別
    貼片電阻與貼片電感不管是在形狀外表上還是在功能特點上都有一定的區別,那么一下就由小編來給大家淺談一下吧。
關鍵詞: 所屬欄目:電子基礎
解讀構成空氣凈化器的重要元器件--粉塵傳感器
對于在經常受到環境污染的城市中生活的人們來說,空氣凈化器已經成為標配的家用電器,空氣凈化器可以很大程度地幫助室內凈化空氣,消滅粉塵、甲醛等有害物質。空氣凈化器的功能實現需要各個模塊各司其職,現在,我們要解讀構成空氣凈化器的重要元器件--粉塵傳感器。
關鍵詞: 所屬欄目:傳感器技術
基于FPGA器件實現多頻鍵控調制電路的設計和仿真驗證研
數字信號傳輸系統分為基帶傳輸系統和頻帶傳輸系統.頻帶傳輸系統也叫數字調制系統。數字調制信號又稱為鍵控信號,數字調制過程中處理的是數字信號,而載波有振幅、頻率和相
關鍵詞: 所屬欄目:設計編程
分享高速PCB設計技巧
高速PCB設計技巧 高速PCB設計是指信號的完整性開始受到PCB物理特性(例如布局,封裝,互連以及層堆疊等)影響的任何設計。而且,當您開始設計電路板并遇到諸如延遲,串擾,
關鍵詞: 所屬欄目:pcb
很小的貼片器件怎么焊接及注意事項
很小的貼片器件怎么焊接
900M、500、200型號等選擇合適自己焊臺或者電烙鐵,I型烙鐵頭適合精密焊接環境受局限的焊點兒,或焊接空間狹小之情況,0.5C, 1C/CF, 1.5CF 等烙
關鍵詞: 所屬欄目:電子基礎
集成功率放大器件或分立元件放大電路設計
圖1為一個由分立元件構成的直流化的互補對稱OCL電路。電路由差分放大級、電壓推動級和復合輸出級構成。本電路引入了直流負反饋電路,一般功放中由于存在反饋電容,限制了低頻響應,為了消除這種不利影響,只有增
關鍵詞: 所屬欄目:音頻功放電路
如何解決波峰焊助焊劑噴頭堵塞方法分享
如何解決波峰焊助焊劑噴頭堵塞助焊劑噴嘴的作用就是通過波峰焊外接氣源的壓力作用使波峰焊助焊劑均勻的噴涂在線路板的焊接面以使線路板完成波峰焊接。波峰焊的助焊劑噴頭堵
關鍵詞: 所屬欄目:其他文章
波峰焊操作注意事項
波峰焊操作注意事項波峰焊設備是目前應用廣泛的自動焊接設備。波峰焊設備的主要結構是個溫度能自動控制的熔錫缸,缸內裝有機械泵和具有特殊結構的咳嘴。機械泵能根據要求,
關鍵詞: 所屬欄目:其他文章
回流焊熱傳遞方式有哪幾種及特點
回流焊熱傳遞方式有哪幾種及特點回流焊技術在電子制造域并不陌生,我們電腦內使用的各種板卡上的元件都是通過這種工藝焊接到線路板上的,這種設備的內部有個加熱電路,將空
關鍵詞: 所屬欄目:其他文章
波峰焊工藝在調試方面有哪些內容和技巧
波峰焊接工藝是一個復雜的工藝過程,如果有哪個環節出現錯誤就會造成波峰焊接產品批量的不良。下面與大家分享一下波峰焊工藝主要調試內容和調試技巧。
波峰焊工藝軌道水平
關鍵詞: 所屬欄目:其他文章
使用波峰焊后造成PCB板短路連錫的原因有哪些
波峰焊如果操作不當會造成批量的PCB焊接點短路連錫現象。PCB焊接點短路連錫也是波峰焊接中廠家最多的焊接不良,它是由多種原因造成的。下面和大家分析一下波峰焊后PCB板短路
關鍵詞: 所屬欄目:其他文章